Academia.eduAcademia.edu

Aerospace Engineering

122,213 papers
595,830 followers
AI Powered
Aerospace Engineering is a branch of engineering that focuses on the design, development, testing, and production of aircraft and spacecraft. It encompasses various disciplines, including aerodynamics, materials science, structural analysis, propulsion, and avionics, to ensure the safe and efficient operation of vehicles in the atmosphere and outer space.
Euler–Bernoulli beams are distributed parameter systems that are governed by a non-linear partial differential equation (PDE) of motion. This paper presents a vibration control approach for such beams that directly utilizes the non-linear... more
by S F Ali and 
1 more
Magnetorheological dampers are intrinsically nonlinear devices, which make the model- ing and design of a suitable control algorithm an interesting and challenging task. To evaluate the potential of magnetorheological (MR) dampers in... more
In this paper, high and low speed tip flows are investigated for a high-pressure turbine blade. Previous experimental data are used to validate a CFD code, which is then used to study the tip heat transfer in high and low speed cascades.... more
Experimental ground testing has been carried out to determine whether digital latches can spontaneously change state in severe (space weather induced) outer-belt environments via the mechanism of internal spacecraft charging/discharging.... more
Given the present, relatively limited deployment of low cost and mass space missions, there are clear opportunities for the application of small-scale propulsion systems in further enabling these small satellite missions. With this... more
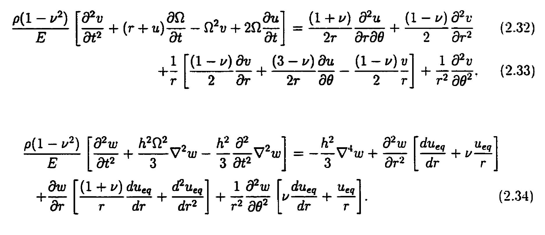
This thesis considers a modelling and vibration analysis of thin spinning disks. Both in-plane and transverse vibrations are considered. Kirchhoff and von Karman theory of plates along with Hamilton's principle are used to derive linear... more
The study of planets lends itself to the multiple intelligences approach in such a way that lessons can be designed seamlessly, moving through each of the seven intelligences, each modality resonating and enriching the others.
The present study was undertaken to investigate the effect of metallurgical parameters on the drilling performance of the heat treated 356 and 319 alloys. The most important metallurgical factors undertaken in the present study that... more
The document was used as a lecture note for the graduate course on flight control system at the Malaysian Institute of Aviation Technology (MIAT), Kuala Lumpur, Malaysia. Some parts of the document represent an enhanced version of the... more
Authors: A.H.M. Murid, Mohamed M.S. Nasser & N.S. Amin This paper presents a boundary integral equation for the external potential flow problem around airfoils without cusped trailing edge angle. The derivation of the integral equation... more
Authors: Mohamed M.S. Nasser, A.H.M. Murid & N.S. Amin Based on the recently discovered second kind Fredholm integral equation for the exterior Riemann problem, a boundary integral equation is developed in this paper for the... more
More than 10 000 objects larger than 10 cm are currently in earth orbit. These objects include satellites, launch vehicle upper stages, mission-related debris and “space junk”. The amount of debris constitutes a threat for the successful... more
This paper presents a review of theoretical and experimental results on stability and other unsteady properties of aircraft wakes. The basic mechanisms responsible for the propagation and the amplification of perturbation along vortices,... more
1] Long term variations of low-latitude mesospheric semi-annual oscillation (MSAO) and quasi-biennial oscillation (MQBO) in the zonal wind are studied using observations available from 1977 to 2006. The MQBO showed large inter-annual... more
The goal of this paper is to provide a perspective on the current status and future directions for active flow-control technology with particular emphasis on oscillatory control. This is not a comprehensive review of the literature;... more
This paper demonstrates the applicability of a two-dimensional eigenvalue problem approach to the study of linear instability of analytically constructed and numerically calculated models of trailing-vortex systems. Chebyshev collocation... more
Previous models of spinning disks have focused on modelling the disk as a spinning membrane. The effect of bending stiffness was then incorporated by adding the appropriate term to the previously derived spinning membrane equation. A pure... more
In this paper, two recently derived linear models for the transverse vibrations of a spinning plate are considered. The disk is modelled as a pure plate with no membrane effects. Furthermore, the effect of the rotary inertia of the plate... more
A linear time-domain thermoelastic (photothermoacoustic) theory of a composite solid-liquid geometry has been developed. The theory includes multiple interreflections at all interfaces, acoustic diffraction and viscosity effects, and... more
This paper considers the dynamics of a spinning disk with the inclusion of in-plane inertia. The inclusion of the in-plane inertia couples the in-plane and transverse vibrations of the spinning disk. By considering one mode of each... more
This paper outlines the design of a 2D analogue for autonomous landing on an asteroid as a hardware demonstrator/development platform, within an overall requirements structure that aims to develop a generic architecture for autonomous... more
A well known limitation with stretched vortex solutions of the 3D Navier-Stokes (and Euler) equations, such as those of Burgers type, is that they possess uni-directional vorticity which is stretched by a strain field that is decoupled... more
There has been considerable recent interest in applying maximal invariant (MI) hypothesis testing as an alternative to the generalized likelihood ratio test (GLRT). This interest has been motivated by several attractive theoretical... more
This paper presents a particle filter approach to recursively estimating the joint multitarget probability density (JMPD) for the purposes of simultaneous multitarget detection and tracking. The JMPD is a conditional probability density... more
This paper presents a particle filter approach to recursively estimating the joint multitarget probability density (JMPD) for the purposes of simultaneous multitarget detection and tracking. The JMPD is a conditional probability density... more
This paper addresses the problem of tracking multiple moving targets by recursively estimating the joint multitarget probability density (JMPD). Estimation of the JMPD is done in a Bayesian framework and provides a method for tracking... more
This paper addresses the problem of tracking multiple moving targets by recursively estimating the joint multitarget probability density (JMPD). Estimation of the JMPD is done in a Bayesian framework and provides a method for tracking... more
The classic exact solution due to Lagally Die reibungslose strömung im aussengebiet zweier kreise. Z. Angew. Math. Mech. 9, 299-305.) for streaming flow past two cylindrical aerofoils (or obstacles) is generalized to the case of an... more
In this thesis, I present the design and evaluation of new techniques for using directional antennas to save energy and to bridge network partitions in a mobile ad hoc network. This thesis advocates close but simple collaboration between... more
A 2D numerical investigation is presented of shock wave propagation into a gas whose density is modulated in the transverse direction across the width of a shock tube. These density modulations represent temperature distributions in which... more
We present numerical simulation of 2D turbulent flow using a new model for the subgrid scales which are computed using a dynamic equation linking the subgrid scales with the resolved velocity. This equation is not postulated, but derived... more
The orientational order and dynamics in suspensions of self-locomoting slender rods are investigated numerically. In agreement with previous theoretical predictions, nematic suspensions of swimming particles are found to be unstable at... more
We study the behavior of an elastic loop embedded in a flowing soap film. This deformable loop is wetted into the film and is held fixed at a single point against the oncoming flow. We interpret this system as a two-dimensional flexible... more