Thermodynamic analysis methods, based on an exergy metric, have been developed to improve system efficiency of traditional heat driven systems such as ground based power plants and aircraft propulsion systems. However, in more recent... more
Lattice materials can be designed through their microstructure while concurrently considering fabrication feasibility. Here, we propose two types of composite lattice materials with enhanced resistance to buckling: (a) hollow lattice... more
This work involves the determination of transport coefficients and equation of state of supercritical fluids by molecular dynamics (MD) simulations on parallel computers using the Green-Kubo formulae and the virial equation of state,... more
A model for predicting the refractive index of sodium iodide (NaI) aqueous solution n N I as a function of temperature T, NaI concentration c and wavelength was determined for moderate parameter variations. The equation accurately... more
The US National Aeronautics and Space Administration (NASA) Planetary Protection Office, in the Science Mission Directorate, has a long-term initiative under way in communication research and planning. The possibility of extraterrestrial... more
This project is modeled around reducing the overall drag and lift coefficient by modifying the geometry and comprehending the underlying rootphenomenon for the variation in these drag values. The designing of models used in this project... more
Hardware-in-the-loop Nanosatellite CubeSat a b s t r a c t This paper presents a study of a high rate closed-loop spin controller that uses only electromagnetic coils as actuators. The controller is able to perform spin rate control and... more
Experiments studying cardiovascular geometries require a working fluid that matches the high index of refraction of glass and silicone, has a low viscosity, and is safe and inexpensive. A good candidate working fluid is diethyl phthalate... more
This paper shows the effect of self-shadowing on the coupled attitude-orbit dynamics of objects with high area-to-mass ratios (HAMR) in simulating standard multi layer insulation materials (MLI) as tilted single rigid sheets. Efficient... more
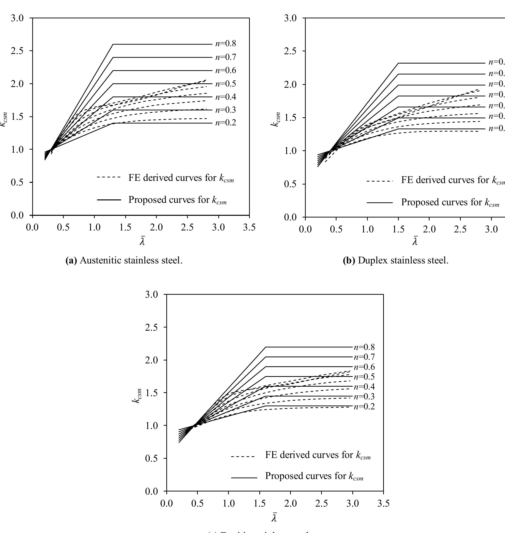
Previous studies on stainless steel tubular section beam-columns have revealed shortcomings in established codified design methods. These shortcomings stem principally from inaccurate predictions of the bending and column buckling end... more
ISHTAR or VENUS ORBITER is a mission to Venus similar to the mission Mars Express to Mars, with the use, possibly, of the same spacecraft and subsystems. This mission has been proposed to ESA for a feasibility study as a small mission... more
Sometime in the 1950s while experimenting with tip-mounted ramjet engines, Eugene M. Gluhareff built the first working pressure jet engine, a variation on the classical ramjet engine that uses an acoustically-pressurized inlet system to... more
In 1907 aviation pioneer Santos-Dumont had the idea of building a very light airplane. He designed and built No.19, the Demoiselle, an aircraft with a 6 meter wing span and a 24 HP engine of his own design. The Demoiselle was very... more
Efforts are being taken to make space missions more affordable. Reusable Launch Vehicle (RLV) is one such innovation aimed to reduce the manufacturing costs drastically. Developments are being made to make improvements on the already... more
It is a precious knowledge of ancient india. this script was originally composed by mahrshi BHARADWAJA, the great indian sage around 5000 BC ,it content english transtation of some of its sanskrit stotras and shlokas.before wright... more
Separation control, by nominally two-dimensional periodic excitation, was studied experimentally by the authors and co-workers at Reynolds numbers ranging from 3 × 10 4 to 4 × 10 7 , including compressibility effects. The tests... more
AIRCRAFT
Aircraft is a brilliant man-made structure which helps us to fly over the world. At the same time, aircraft is a complex structure to be checked and maintained for the aero elasticity due to aerodynamic properties. In this paper, the... more
Reconocer, identificar y conocer las propiedades de los materiales es muy importante en el campo de la ingeniería, ya que son ellos los que aportan las características de resistencia y estabilidad de lo que se va a diseñar. Si no se... more
The paper is about preliminary sizing and analysis of a trainer aircraft wing. The main objective is to fix an appropriate structure within the given envelope and to estimate the Gross take-off weight, wing loading, Stress distribution,... more
The latest advances in bioregenerative strategies for long-term life support in extraterrestrial outposts such as on Mars have indicated soil-based cropping as an effective approach for waste decomposition, carbon sequestration, oxygen... more
The SARA satellite was conceived as a microgravity recoverable and reusable research platform by both Brazilian Institute of Aeronautics and Space (IAE) and Space Agency (AEB). Figure 1a shows an artistic design of the platform and Fig.... more
Optical surveys have identified a class of high area-to-mass ratio (HAMR) objects in the vicinity of the Geostationary Earth Orbit (GEO) ring n . The exact origin and nature of these objects are not well known, although their proximity to... more
Vent holes can be used to reduce the aerodynamic pressure loads on nonstructural elements of buildings. The analysis of these loads applied on nonstructural elements of buildings (window panes, closure panels, etc.) with vent holes, under... more
Work is reported on the use of quantitative structural property relationships to estimate the properties of ionic liquids for which no measured property data are available and to classify liquids a...
This paper describes the summary of a three-year development program for the first-stage stationary vane and rotating blade for the next generation, 1500°C class, high-efficiency gas turbine. In such a high-temperature gas turbine, the... more
Results from the feasibility study of the "GiZero" free falling capsule are reported. GiZero is a capsule designed to perform experiments in free fall from ballooning at stratospheric altitude. It is shown that the residual gravitational... more
The space segment of NASA's Earth observing system (EOS) includes three series of intermediate-sized spacecraft, plus two smaller spacecraft. The EOS-AM spacecraft is the first of the intermediate-sized spacecraft. EOS-AM accommodates... more
A radio heliograph operating in the frequency range of 1200–1700 MHz is planned by INPE, Brazil, for investigations of time evolution of active regions, which will lead to better understanding of the physics of the flares energy release... more
The role of different processes which could be responsible for deceleration of the solar wind upstream of the martian bow shock is discussed. It is shown that the geometry of the foreshock strongly controls variations of the solar wind... more
The intention of the NETLANDER mission is to establish for the first time a Network of stations on the surface of Mars. Four identical surface modules are equipped with science payloads dedicated to study the atmosphere and geosphere of... more
The INTEGRAL satellite observed the binary black hole system Cygnus X-1 on 2003 June 7-11. The source was detected up to 800 keV, its spectrum beeing compatible with a power law of photon index 2.3. In the framework of the accreting black... more
Measurements of the velocity and concentration in axisymmetric, turbulent, isothermal and buoyant jets have been performed with laser-Doppler velocimetry and planar and point laser-induced fluorescence to quantify the mixing enhancement... more
Pulsatile action can be used to mix two streams entering a tube from two separate branches of a bifurcation at low Reynolds numbers. The pulsatile action is provided by two pinch valves, which deform flexible tubing immediately upstream... more
The complexity of the conceptual design of tailless aircraft can appear daunting to many. The multiple design aspects that are able to be broken out into individual problems on conventional designs, are all interrelated on the tailless... more
The role of transverse shear is crucial in modeling ultrasonic wave propagation in composites. The approximate plate theories have been extremely useful in providing solutions to problems involving static and dynamic loadings of uniform... more
This work provides a suboptimal continuous torque solution for controlling an underactuated spacecraft using two control inputs. A sequential submaneuver strategy is proposed. Classical quadratic penalty approaches for the control lead to... more
Abstract This paper proposes an MPC based compound flight control technique for trajectory tracking and attitude control for a ducted fan aircraft subject to different uncertainties and external disturbances. This approach aims to ensure... more
The authors aimed with this work to study the "vortex" on the wing tip of a "Blended Wing Body" aircraft using computational tools available that use the methods of"finite element" and "Computational Fluid Dynamics". The purpose of it is... more
It is well known that certain fluids are birefringent and when flows are viewed in polarised light interference fringes are observed. The fringes are caused by a phase shift in the light passing through the fluid and are proportional to... more
































![CFD Analysis And Optimization Of Geometrical Modifications Of Ahmed Body Manipulation of the rear slant angle of the generic Ahmed body reference model was carried out previously [2], to determine the optimum angle configuration for the least drag coefficient with velocity of air at inlet being 40m/s. The drag coefficient and the corresponding lift coefficient were plotted.The pressure distribution and velocity contours for the various rear slant angles were also investigated to comprehend the aerodynamic behavior around the model.](https://figures.academia-assets.com/47212464/figure_001.jpg)














![Fig. 16- Roof camber: Lift vs. H/L ratio Fig. 15- Roof camber: Drag vs. H/L ratio ——'_' OO The analyses of the 22 multifarious models carried out yield optimum configurations for each geometrical modification of the benchmark model — Ahmed body having 10 degree rear slant angle. The values of the aerodynamic parameters obtained for the benchmark model are- Coefficient of drag (C4) = 0.238 and the coefficient of lift (C,) = 0.0848[2]. For all the configurations for a particular modification (obtained by varying the associated geometrical parameter),the drag and lift coefficients are plotted and examined to determine the optimum configuration resulting in least drag and lift coefficients. Furthermore, the underlying root causes are also analysed, comprehended and listed.](https://figures.academia-assets.com/47212464/figure_016.jpg)

































































































![Fig. 1. Lift response to periodic excitation applied either to the lead- ing edge or the flap shoulder of a NACA 0015 (TAU) airfoil for 150,000 < Re < 600,000 and (c,,) = 0.08% (Ref. [42]).](https://figures.academia-assets.com/44558043/figure_001.jpg)
![Fig. 2. Lift increment due to leading edge excitation applied to a post- stalled NACA 0015 airfoil, at different excitation amplitudes (flap not de- flected) [9].](https://figures.academia-assets.com/44558043/figure_002.jpg)
![Fig. 4. LaRC NACA 0015 airfoil showing the two configurations tested. (a) NACA 0015 airfol with an excitation slot at X/c = 10%; (b) NACA 0015 airfol with a 25% trailing edge flap deflected 20 deg and a blowing slot at X/c= 75%. Fig. 3. The effect of circular tabs and AFC applied to an airfoil at low Re: (a) lift, (b) efficiency (including excitation momentum) vs. lift [1,14].](https://figures.academia-assets.com/44558043/figure_003.jpg)


![Fig. 6. The effects of excitation magnitude on the performance of the NACA 0015 airfoil, at a = 14°, M = 0.28, Rc = 12.7 x 108. F+ =2, zero-mass- flux [40]. Fig. 7. Baseline and controlled lift-form drag polar plot for the flapped LaRC NACA 0015 (Fig. 4(b)). M = 0.2, (c,,) = 0.05%. (Uncorrected wind tunnel data.) [44].](https://figures.academia-assets.com/44558043/figure_006.jpg)

![Fig. 8. The effects of Mach number and periodic excitation on the lift of the NACA 0015 airfoil. Rc = 12.7 x 10°, (c,) = 0.03% (M = 0.28) and 0.025% (M = 0.4) [46]. discussed above, the separating boundary layer that encoun- ters the flap shoulder is fully turbulent. This may explain why the reduced frequencies typically effective at low Re (i.e. 0.5 < FT < 1.5) were also effective at high Re.](https://figures.academia-assets.com/44558043/figure_008.jpg)
![Fig. 10. Baseline and controlled surface pressure coefficients under com- pressible conditions (M = 0.55, Ft = 1.65, (cu) = 0.015%, a = 9°). (Arrow indicated excitation slot) [46]. Fig. 9. (a) LARC NACA 0015 pressure coefficients at conditions M = 0.28, a = 14°, Ro = 12.7 x 10°, F+ =2, (cu) = 0.03%. Arrow indicates blowing slot. (b) LaRC NACA 0015 pressure coefficients at conditions M = 0.4, = 11°, Re = 12.7 x 108, F+ = 2.1, (cy) = 0.025%. Arrow indicates blowing slot. (c) TAU NACA 0015 pressure coefficients with leading-edge slot (Hites et al. [17]) at conditions M = 0.41, a = 14°, Ro =3.5 x 108, Ft =2.2, (cu) = 0.02%, with leading-edge (x /c = 0) blowing slot. (a) and (b) are from Ref. [46].](https://figures.academia-assets.com/44558043/figure_009.jpg)

![Fig. 11. Baseline and controlled airfoil lift to drag ratio and integrated wake unsteadiness vs excitation magnitude, both normalized by their baseline val- ues. Ro = 19 x 108, M = 0.55, Ft = 1.65, a =9° [46].](https://figures.academia-assets.com/44558043/figure_011.jpg)
![Fig. 12. Baseline and controlled time histories of (a) lift and (b) moment coefficients fora NACA 0012 at one degree beyond its stall angle [9].](https://figures.academia-assets.com/44558043/figure_012.jpg)
![Fig. 13. Post stall integrated lift (a) and moment (b) coefficients for NACA 0012 and 0015 airfoils, for both baseline and controlled scenarios [12]](https://figures.academia-assets.com/44558043/figure_013.jpg)
![Fig. 14. (a) NACA 0015 total, fluctuating and phase-locked wake pressures. Rc = 12.7 x 108, w= 14°, M = 0.28, (cy) = 0.03%. (b) Wake total pres- sure spectra, conditions as in Fig. 14(a) [46].](https://figures.academia-assets.com/44558043/figure_014.jpg)

![Potential AFC applications include those configurations that could benefit from the increases in lift, reductions in drag and reductions in flow unsteadiness that result from ac- tive control. For general purpose aircraft, this could be trans- lated to increases in range, speed, useful load and efficiency as well as reductions in stall speed. Control could further be used to simplify designs and reduce the weight, maintenance Fig. 16. (a) Baseline and controlled wake spectra. Rc = 19 x 108, M = 0.55, a= 9°, Ft = 1.65, (cy) = 0.015%. (b) Amplitude and phase distributions at the excitation frequency. Corresponding to the data of Fig. 16(a). M = 0.55 [46]. The spectra of the baseline and the controlled wake pres- sure fluctuations at « = 9° and at Ma = 0.55 are presented in Fig. 15 [46]. As with the high Re data, Y/c locations presented were selected because they correspond to the lo- cations where p’/q is maximum and the associated base- line wake does not contain a distinctive shedding frequency (Fig. 16(a)). Rather, it has a wide band of natural high am-](https://figures.academia-assets.com/44558043/figure_016.jpg)

















































































![(a) represents baseline flow (no mixing), (b) peristaltic flow (c) peristaltic flow with pinch valves using the first set of dimensional timing parameters, (d) peristaltic flow with pinch valves using the second set of dimensional timing parameters, and (e) expected maximum fluorescence corresponding to fully mixed fluid. The Strouhal number is 2.03 in all cases Fig. 7 Plot showing fluorescence vs. dimensionless time for three different timing parameters t = 0.172, pinch valves are activated for 291 dimensionless time units (50 seconds) from from t/t = 290 to t/t = 581. t = 0.408, the pinch valves are activated for 246 dimensionless time units (100 seconds) from t/t = 122 to t/t = 368. t = 0.879, the pinch valves are activated for 227 dimensionless time units (200 seconds) from t/t = 57 to t/t = 284. For each plot A gradual increase in fluorescence is observed soon after the inception of the pulsatile motion for all speeds. When t = 0.172, the fluorescence increases from approximately 8000 photons/s (a small amount of mix- ing due to the low-amplitude pulsation produced by the peristaltic pump and possibly diffusion) to an average peak value of 14000-15000 photons/s. When t = 0.408 s, the fluorescence increases from 11000 photons/s to 19000 photons/s and when t= 0.879 the fluorescence increases from 17000 photons/s to approximately The oscillation in flow rate due to the peristaltic ac- tion is visible in the fluctuation of the fluorescence measurement. For example, the period of the oscillation when t= 0.408 (approximately 25 s) is consistent with the time elapsed between the squeezing action of suc- cessive rollers in the peristaltic pump (8 rollers, angular speed of 0.28 RPM). The variation in minimum and maximum fluorescence is due to the variation in overal residence time of the mixing fluids. This is confirmed by the fact that the fluorescence for the baseline (an FBS stream pumped under identical conditions) does no vary with time for each experiment. The percentages o maximum mixing obtained with the peristaltic pump action alone and with the pulsatile mixer are shown in Table 2. In the previous image analysis study [Truesdel (2002), Truesdell et al. (2003)], the mixing fractions un- der similar conditions (t = 0.408) were, respectively,](https://figures.academia-assets.com/40711368/figure_006.jpg)





